

APLICACIONES:
Tipo ax2 -c = 0
Despejamos el valor de x = √ c /a y obtenemos dos valores para x1 y x2
Consideremos que si c/a es menor que 1 no habrá solución y si es mayor que 1 obtendremos: x1 y x2
Ejemplos a solucionar:
1. 7x2 -49 = 0
2. 3x2 -9 = 0
3.10x2 -50 = 0
4. 10x2 -2 = 0
5. 36x2 -6 = 0
6. x2 -3 = 0
7. x2 -10 = 0
8. 8x2 + 16 = 0
9. 4x2 + 8 = 0
10. x2 -1 = 0
11. 2x2 + 2 = 0
12. x2 - 5 = 0
13. 25x2 -5 = 0
14. 3x2 -18 = 0
15. 2x2 -10 = 0
Al graficar una de las ecuaciones anteriores obtendremos los valores solución que será iguales, pero uno positivo y otro negativo, donde se intersecta la parábola en el eje de las x
Vertice= ( h, k)
h= -b/2a k= (4ac- b2 ) / (2a)
Tipo ax2 = 0
Ejemplos a solucionar:
1. 7x2 = 0
2. 3x2 = 0
3.10x2 = 0
4. -10x2= 0
5. 36x2 = 0
6. x2 = 0
7. -8x2 = 0
8. 8x2 = 0
9. -4x2 = 0
10. 3x2 = 0
Al graficar una de las ecuaciones anteriores obtendremos los valores solución que será cero, donde se intersecta la parábola en el eje de las x
Cuado la solución da x1 = 0 y x2 = ...un valor, si factorizados con término común.
Ejemplos a solucionar:
1. 4x2 - 8x = 0
2. x2 + 2x = 0
3. 4x2 - 5x = 0
4. x2 + x = 0
5. x2 + 5x= 0
6. x2 + 3x = 0
7. 4x2 - 20x = 0
8. 49x2 - 14x = 0
9. x2 - 6x = 0
10. 25x2 + 10x = 0
Al graficar nos da un valor x=0 y x= ... un valor dos valore para x

Completa: Tipo ax2 + bx + c = 0
Este caso se puede factorizar para encontrar el valor de x1 y x2 o solucionar por fórmula general.
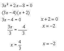
1.- Por Factorización:
Ejemplo: y = - x2 -2 x + 3 a=-1, b= -2, c= 3
Vertice= ( h, k)
h= -b/2a k= (4ac- b2 ) / (2a)
Tipo ax2 + bx = 0
Ejemplos a solucionar por factorizacón:
1.

1. x2 + 4x + 4= 0
2. x2 + 3x - 54= 0
3. 4x2 - 5x -14 = 0
4. x2 + x - 42= 0
5. x2 + 5x -14 = 0
6. x2 + 3x - 54= 0
7. 4x2 - 20x + 25 = 0
8. 49x2 - 14x +1= 0
9. x2 - 6x -7 = 0
10. 25x2 + 10x + 1 = 0
2.- Por Formula General:
Ejemplo: y = - x2 -2 x + 3 a=-1, b= -2, c= 3

Ejemplos a solucionar por fórmula general y graficalas:
Nota para calcular el vértice (h.k)
h= -b/(2a) k= (4ac-b2)/(4a), esto para saber que valores le daremos al punto máximo o mínimo de la parabola.
1. x2 + 2x + 1= 0
2. x2 - 4x +3 = 0
3. - x2 + x + 6 = 0
4. x2 - 8x + 15 = 0
5. x2 + 2 = 0
Forma de graficar una ecuación cuadratica:

Vertice de parabola
Vertice= ( h, k)h= -b/2a k= (4ac- b2 ) / (2a)
Al graficar nos da un valor x=... un valor y x= ... un valor dos valores diferentes para x

Tipos de Parabolas

Nota que entre má grande sea el número que acompaña a la variable cuadratica es menos ancha la parabola, y entre mas pequeño el numero de x 2 es mas ancha la parabola.
Si tenemos y = x2 -1 significa que -1 baja la parabola, o y = x2 + 3 es lo que sube la parabola.
Vertices de la parabola
Aquí el vertice (0,0)
Parabola en su expresión canonica o cuando se presenta y = a(x - h)2 +k
para descubrir el valor del vétice ( h , k ) Conclusiones de parabolas:
El video siguiente solo es para aquel alumno que quiera aprender mas referente a completer el Trinomio Cuadrado Perfecto
No hay comentarios:
Publicar un comentario